[2과목] 3장. 통계기법 이해
01 기술통계
1. 표본추출
▶ 용어
- 모집단 : 조사하려는 대상 전체
- 표본 : 조사하기 위해 뽑은 모집단의 원소
- 모수 parameter : 표본관측으로 구하려는 정보
- 표집틀 : 표본추출 시 필요한 모집단의 구성 요소와 추출 단계별 표본추출단위가 게재된 목록
▶ 표본추출 과정 : 모집단 결정 - 표집틀 선정 - 표본추출 방법 결정 - 표본크기 결정 - 표본추출
▶ 표본추출 방법 : 확률 표본추출 ↔ 비확률 표본추출
▶ 확률 표본추출 probability sampling
- 단순랜덤추출법 : N개 모집단에서 n개 표본 무작위로 추출하는 방법
- 계통추출법 : 표본을 k개씩 n개 구간으로 나누고, 해당 구간의 특정 위치에 있는 원소 추출
- 집략추출법 : 모집단이 복수의 집단으로 구성됐을 때, 각 집단 cluster을 랜덤으로 선택해 집략 내에서 임의로 표본을 고르는 것
- 층화추출법 : 다른 원소로 구성된 모집단에서 각 계층을 대표할 수 있도록 표본을 추출하는 것. 모집단을 겹치지 않는 층으로 나누고, 각 층별로 단순확률표본 추출
▶ 비확률 표본추출(비무작위 표본추출) : 일반화에 제약 있음
- 편의 표본추출 : 정해진 크기의 표본을 선정할 때까지 조사자 재량껏 원소를 표집하는 방법(ex. cnfrnwhtk)
- 유의 표본추출(의도적 표본추출) : 조사자의 의도에 따라 대표적인 대상을 표본으로 추출
- 지원자 표본추출(ex. 임상실험)
- 할당 표본추출 : 각 속성의 구성비 고려해 표본 추출하는 것 (ex. 선거, 여론조사)
- 눈덩이 표본추출(네트워크 표본추출) : 조사 대상자의 소개를 받아 다른 조사 참여자를 구해 조사해나가는 방법
2. 데이터 요약
▶ 자료의 그래프적 표현
- 이산형 자료 : 막대 그래프, 원 그래프
- 연속형 자료 : 히스토그램, 줄기-잎 그림, 상자그림, 산포도 등
▶ 자료의 숫자 요약
- 중심 경향도 : 평균, 중앙값, 최빈값
- 산포도 : 분산, 범위, 표준오차, 변동계수
- 비대칭도 : 왜도, 첨도
- 통계량 : 표본으로 얻은 자료의 대푯값, 모수 추정하는 통계량을 추정량 Estimator라고 함
▶ 자료의 측정과 형태 : 명목, 순서, 구간, 비율 척도
- 질적(이산형) 자료(범주형 자료)
: 명목 척도 - 어느 집단에 속하는가?(성별, 국적 등)
: 서열(순서) 척도 - 일정한 순서(만족도, 선호도, 학년 등)
- 양적(연속형) 자료(수치형 자료)
: 구간(등간) 척도 - 속성의 양 측정. 간격이 유의미. 덧뺄셈 가능(온도, 지수 등)
: 비율척도 - 간격에 대한 비율이 유의미. 0 존재. 사칙연산 가능(무게, 시간, 나이 등)
3. 확률분포
▶ 확률 Probability은 결과의 가능성을 측정하는 척도. 범위는 0~1
▶ 표본공간 Ω의 부분집합인 사건 E의 확률은, 표본공간의 원소 개수에 대한 사건 E의 원소 개수
*표본공간 Ω : 실험 반복할 때, 실험으로 거둘 수 있는 모든 결과의 집합
▶ 배반사건 : P(A U B U...) = P(A) + P(B) + ...
▶ 확률 계산
- 덧셈 법칙
- 배타적 X : P(A U B) = P(A) + P(B) - P(A ∩ B)
- 배타적 O : P(A U B) = P(A) + P(B)
- 곱셉 법칙 : P(A ∩ B) = P(A) U P(B) (A, B는 독립)
- 조건부 확률과 독립성
- 조건부 확률 : 실험에서 결과 A가 나오고 그 중 B가 발생할 확률: P(B|A) = P(A ∩ B) / P(A) (P(A) <> 0 일 때)
- 확률적 독립성 → 두 사건 A, B가 조건 하나라도 만족 시, "독립"
- P(A ∩ B) = P(A) * P(B)
- P(A|B) = P(A)
- P(B|A) = P(B)
- 상호 배차성(상호 배반) ↔ 서로 독립
- 배반 : P(A ∩ B) = ∅ → P(A ∩ B) = 0
- 독립 : P(A ∩ B) = P(A)P(B) <> 0
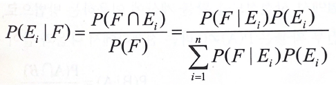
- 베이즈 정리 : 사전 확률과 사후 확률의 관계를 나타내는 정리
- 표본공간Ω가 k개의 사건 E1, E2, ..., Ek에 의해 분할
- 다른 사건 F가 일어났을 때, Ei에서 일어날 확률

- 복원 추출, 비복원추출
- 복원 추출 : 표본을 한 번에 하나씩 추출할 때 한 번 추출된 원소를 다음 표본 추출대상에 포함시키는 방법
- 비복원 추출 : 한 번 추출된 원소는 다음 표본추출 대상에서 제외시키는 방법
- 순열 : n개의 원소로 된 집합으로부터 한 번에 r개의 원소를 선택해 이들 간에 순서를 정하여 늘어놓는 방법
- nPr = n(n-1)(n-2)...(n-r+1) = n! / (n-r)! (단 n ≥ r)
- nPn = n(n-1)(n-2)...3*2*1 = n!
- 조합 : n개의 원소로 구성된 집합으로부터 r개의 원소를 순서에 관계없이 비복원으로 선택하는 방법
- nCr = nPr / r! = {n(n-1)(n-2)...(n-r+1)} / r! = n! / {r!(n-r)!}
- 확률변수 : 정의역 Domain이 표본공간, 치역 Range이 실수값인 함수(ex. 동전 2개 던져 앞면 나오는 경우)
- 이산 확률변수 : 이산점에서 0이 아닌 확률값을 가지는 확률변수(ex. 두 개의 주사위를 던져 나오는 주사위 합)
- 확률질량함수 : 각 이산점에서 확률의 크기를 표현하는 함수
- 연속형 확률변수 : 특정 실수 구간에서 0이 아닌 확률을 갖는 변수. 함수의 형태로 표현
- 연속형 확률변수 X의 확률함수를 f(x)라고 할 때, 이를 확률밀도함수 pdf라고 함
- 누적 분포 함수 CDF : 특정값 a에 대해 확률변수 X가 X ← a인 모든 경우의 확률의 합을 표현한 것
- 확률변수의 기댓값(평균)과 분산
- 기댓값 : 확률분포에서 분포의 무게중심. 확률값을 가중치로 하는 일종의 가중평균
- 두 확률변수의 합의 기댓값 = 각 확률변수의 기댓값의 합
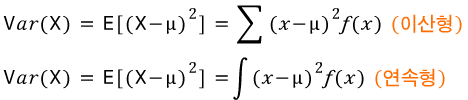
- 분산 : 확률분포의 산포도를 측정하는 것
- 확률분포
- 이산형 확률분포
- 베르누이 확률분포 : 결과가 2개만 나오는 경우. 실험의 결과가 성공 or 실패(상호 배반적 사건)
- 이항분포 : 베르누이 시행을 n번 반복할 때, k번 성공할 확률. 성공 확률 p가 0과 1에 가깝지 않고, n이 충분히 크면 정규분포에 가까워짐
- 기하분포 : 성공확률이 p인 베르누이 시행에서 처음 성공이 일어날 때까지 반복한 시행횟수를 X라고 하면, X는 성공확률이 p인 기하분포를 따른다고 함. 기호 X~Geo(p). 단 한 번의 성공을 위해 실패를 거듭해야 하는 경우에 적합
- 다항 분포 : 세가지 이상의 결과가 나오는 반복시행에서의 확률분포(ex. 주사위 던지기)
- 포아송 분포 : 시간과 공간 내에서 발생하는 사건의 발생횟수에 대한 확률분포
- 연속형 확률분포
- 균일분포(일양분포) : 확률변수가 정의되는 구간에서의 확률밀도함수 값이 모두 동일한 확률분포로 정의되는 분포. (ex. 다트)
- 정규분포(가우스 분포) : 평균이 μ(뮤)이고, 표준편차가 σ(시그마)인 x의 확률밀도함수로 종 모양으로 생긴 분포. 정규분포의 모양과 위치는 분포 평균과 표준편차로 결정됨
- 표준 정규분포 : 정규분포 중 평균이 0이고, 분산 1인 정규분포
- 표준화 : 개별값을 표준척도로 바꾸는 과정
- 지수분포 : 어떤 사건이 발생할 때까지의 경과시간에 대한 연속확률분포
- t-분포 : 표준정규분포처럼 평균이 0을 중심으로 좌우가 동일. 확률이 아닌 신뢰구간을 구할 때, 가설검정에서 사용. 표본이 (30개 이상) 커져 자유도 증가하면 표준정규분포와 동일한 형태가 됨. 모표준편차를 모르는 상태에서 표본의 크기가 30보다 작고 집단 간 평균이 동일한지 살펴볼 때 사용
- 카이제곱 분포 : 모평균과 모분산이 알려지지 않은 모집단의 모분산에 대한 가설검정에서 활용. 두 집단의 동질성 검정(범주형 자료로 얻은 관측값과 기댓값의 차이를 보는 적합성 검정)에 활용. 분산의 특징을 나타낸 분포. 그래프 상에서는 양의 값만 존재. 오른쪽 꼬리가 긴 비대칭. 자유도가 커지면 모양이 대칭에 근접.
- F-분포 : 두 집단 간 분산의 동일성 검정에 사용되는 분포. 비대칭의 형태. 확률변수는 양의 값만 지니고, 카이제곱 분포와 달리 자유도가 2개.
- 이산형 확률분포
4. 표본분포
- 확률표본 : 확률변수 X가 특정 확률분포를 따른다고 할 때, 이 확률분포로부터 독립적으로 관측된 n개의 표본. 이 표본은 서로 독립이고, X와 동일한 분포를 지닌다.
- 확률표본으로 최솟값, 최댓값, 중앙값, 표본평균, 표본분산과 같은 통계량을 정의할 수 있음. 확률변수의 함수로 정의된 통계량도 확률변수임.
- 표본분포 : 한 모집단에서 같은 크기로 뽑을 수 있는 모든 표본에서 통계량을 계산할 때, 이 통계량이 이루는 확률분포.선택된 표본이 포함한 오차의 정도를 측정할 수 있음
- 용어
- 표본오차 : 표본에서 얻은 자료로 모집단의 특성을 추론하여 생기는 오차
- 표준오차 : 통계량의 분포인 표본분포의 표준편차
- 표본평균의 분포 : 모집단에서 같은 크기로 뽑을 수 있는 모든 표본의 평균을 계산할 때, 각 평균이 이루는 확률분포
- 중심극한 정리
02 추론통계
- 추론통계 : 표본에서 얻은 통계량을 기초로 모집단의 특성 parameter을 추측하는 것
- 추정 Estimation : 모수가 무엇일지 추측하는 것
- 가설검정 : 모수에 관한 가설 설정 후, 그 가설의 옳고 그름을 판단해 채택 여부를 정하는 것
1. 점 추정
▶ 확률표본의 정보로 모수에 대한 특정값을 지정하는 것
▶ 모평균의 추정량 : 표본평균, 중앙값, 최댓값, 최솟값, 이 둘의 평균
▶ 추정량 고려사항 : ① 추정량도 특정 확률분포 지님 ②가장 바람직한 추정량 선택
- 불편성 unbiasedness : 추정량의 기댓값은 모수와 편의(차이)가 없음
- 효율성 : 추정량의 분산이 작을수록 좋음
- 일치성 : 표본의 크기가 매우 커지면 추정량은 모수와 거의 같아짐
- 충족성 : 충정량은 모수에 대한 모든 정보를 제공함
▶ 모분산의 추정량 : 표본분산은 모분산의 불편추정량 or 최소분산을 가지는 추정량은 아님
▶ 모비율의 추정량
2. 구간 추정
▶ 모수를 특정값으로 지정하는 점추정은 정확성을 판단하기 어려움. 이를 보완하는 것이 구간추정
▶ 구간추정 : '확률로 나타낸 신뢰의 정도 하에서 모수가 특정 구간에 있을 것'이라 선언하는 것
▶ 전제 : ① 추정량의 분포 ② 구해진 구간 내 모수가 있을 가능성의 크기
- 신뢰수준 : 구해진 구간 내 모수가 있을 가능성의 크기. 90, 95, 99%의 확률 주로 사용
- 신뢰구간 : 각 신뢰수준 하에서 모수가 존재할 것이라고 구한 구간
▶ 단일 모수의 신뢰구간 추정
- 모평균의 신뢰구간
- 모평균의 추정량은 표본평균
- 모평균의 구간추정은 표본평균의 표본분포를 이용하고, 모분산을 아는 경우와 모르는 경우로 구분
- 모비율의 신뢰구간
- 모비율의 추정량은 표본비율
- 모분산의 신뢰구간
- 모분산의 추정량은 표본분산
▶ 두 모수 차이의 신뢰구간 추정(서로 독립)
: 두 모평균 차이의 신뢰구간
- 두 모평균 차이의 추정량은 두 표본평균 차이
- 모평균의 구간추정은 표본평균의 표본분포를 이용하고, 모분산을 아는 경우와 모르는 경우로 구분(대표본, 소표본)
3. 최대 우도 추정법
▶ 모수가 미지의 θ인 확률분포에서 뽑은 표본 x를 바탕으로 θ를 추정하는 기법
▶ 우도 likelihood : 주어진 표본 x에 비춰봤을 때, 모수 θ에 대한 추정이 그럴 듯한 정도
▶ 우도 함수(가능도 함수)
- 확률분포 x에 대한 확률밀도함수 or 확률질량함수 : p(x;θ)
- x : 확률분초를 가질 수 있는 실수, θ : 확률밀도함수의 모수를 의미
- 확률밀도함수에서는 모수 θ가 이미 알고 있는 상수계수, x가 변수
- 반면, 모수 추정에서는 x를 알고, 모수를 모르기에 반대로 설정
- 이처럼 확률밀도함수에서 모수를 변수로 보는 경우, 이 함수를 우도 함수라고 한다.
- 표기 : L(θ;x)
▶ 로그 우도 함수
- 최대 우도 추정법을 활용해 우도가 최대가 되는 θ를 구하려면 수치적 최적화가 요구됨
- 보통 우도를 직접사용하는 것이 아니라 로그 변환한 로그-우도 함수를 많이 사용
▶ 최대 우도 추정법 : 파라미터로 구성된 어떤 확률밀도함수 p(x|θ)에서 관측된 표본 데이터 집합을 x라 할 때, 각 표본에서 파라미터 θ를 추정하는 함수
▶ 분포별 최대 우도 추정법
- 베르누이 분포
- 기하분포
- 포아송 분포
- 정규 분포
- 지수 분포
*확률(probability) : 고정된 확률분포에서 어떤 관측값이 나타나는지에 대한 확률
*우도(likelihood) : 고정된 관측값이 어떤 확률분포에서 어느정도의 확률로 나타나는지에 대한 확률
4. 가설검정
▶ 가설 검정 : 가설은 모수(모평균, 모분산, 모비율)에 대해 설정
- 귀무가설(H0) : 차이 없다, 동일하다
- 대립가설(연구가설, H1) : 뚜렷한 증거 가지고 주장하는 가설. 귀무가설 대신 채택하는 모든 가설
▶ 가설검정은 결국, 귀무가설의 채택 여부를 판단하는 과정
▶ 검정통계량 T(x) : 가설검정에서 관찰된 표본으로 구하는 통계량(표본평균, 표본분산, 표본비율). 귀무가설이 옳다고 할 때, 검정통계량 값이 나타날 가능성이 크면 귀무가설 채택
▶ 유의수준 α : 귀무가설이 옳음에도 기각하는 확률의 크기. 검정통계량과 무관하게 검정 실시자의 판단에 의거해 결정. 1, 5, 10%를 주로 씀
▶ 기각역 C : 검정통계량의 분포에서 확률이 유의수준인 부분
- 기각역과 유의수준의 관계 : 귀무가설 하에서 검정통계량이 기각역에 속할 확률
▶ 유의확률 P-val : 귀무가설의 기각 기준. 검정통계량의 관측결과 값에 따라 귀무가설의 기각이 가능한 최소 유의수준 확률. 귀무가설이 참이라는 가정 하에 얻어진 검정통계량 값에 대응해 구해진 확률
▶ 대립가설과 기각역(귀무가설 H0을 기각)


▶ 가설검정 단계 : 가설 설정 > 검정통계량과 분포 도출 > 유의수준 결정 및 기각역 설정 > 귀무가설 성립 전제로 표본관찰에 의한 검정통계량 값 도출 > 검정통계량 값이 기각역에 속하면 기각
▶ 제1종 오류 α & 제 2종 오류 β
- 제 1종 오류 : 귀무가설 참이지만 기각하는 오류. (유의수준과 동일한 확률)
- 제 2종 오류 : 귀무가설이 거짓이어도 채택하는 오류
5. 통계분석 방법론
▶ 가설의 타당성 여부를 검정하는 방법
▶ 단일 모수의 검정
- 모평균의 검정(t-검정)
- 일표본 t-검정 : 단일 모집단에서 관심있는 연속형 변수의 평균값을 특정 기준값과 비교할 때 사용
- 종속변수는 연속형 변수
- 단계 : 가설설정 > 유의수준 설정 > 검정통계량 값 및 유의확률 계산 > 귀무가설 기각 여부 판단 및 의사결정
- 대응표본 t-검정
- 단일 모집단에 두 번의 처리를 가했을 때, 두 번의 처리에 따른 평균 차이를 비교
ex) 군인들에게 두 가지 사격 훈련 실시하고, 적중수 평균 차이 비교
▶ 두 모수의 동일성 검정(독립표본 t-검정)
- 두 개의 독립된 모집단의 평균 비교
- 가정 : 정규성, 독립성, 등분산성(두 독립 집단의 모분산이 동일) 만족. 독립변수는 범주형, 종속변수는 연속형
- 단계 : 가설설정 > 유의수준 설정 > 등분산 검정 > 검정통계량 및 유의확률 계산 > 귀무가설 기각 여부 판단 및 의사결정
03 분산분석 ANOVA
1. 일원배치 분산분석 One-way ANOVA
▶ 분산분석 : 두 개 이상의 집단에서 그룹 평균 간 차이를 그룹 내 변동에 비교해 살펴보는 방법. 두 개 이상의 집단 평균 차이에 대한 유의성 검증(평균 비교)
▶ 일원배치 분산분석 : 반응값에 대한 하나의 범주형 변수의 영향 알아보기 위해 사용됨. 모집단 수에 제한 없음. F-검정 통계량 사용.
~ 가정 : 각 집단의 측정값은 독립적, 정규분포 따름. 분산 동일
▶ 가설 검정 : n개의 집단 간 모평균에 차이가 없다(귀무)
▶ 사후 검정 : 귀무가설이 기각돼 평균 차이가 있다고 할 때, 어떤 집단에서 차이가 있는지 살펴보는 분석
~던컨의 MRt, 피셔의 LSD, 튜키의 HSD 등이 있음
2. 이원배치 분산분석
▶ 분산분석에서 반응값에 대해 두 범주형 변수의 영향을 알아보기 위해 사용되는 방법
ex) 나이와 성별에 따른 토익점수 차이
▶ 두 독립변수 사이에 상관관계가 있는지 살펴보는 교호작용에 대한 검정이 반드시 요구됨
▶ 가정 : 정규분포(정규성), 등분산성 만족
▶ 주효과와 교호작용효과
- 주효과 : 독립변수가 종속변수에 미치는 효과
- 교호작용효과 : 여러 독립변수의 조합이 종속변수에 주는 영향
- 두 독립변수 사이에 상관관계가 있을 시, 교호작용이 있다는 뜻. 이 경우, 검정이 무의미함
예상문제 대비
- 상자에 포켓몬 빵 50개 있고, 피카츄가 20개, 뮤 30개 있음. 20개 피카츄 중 3개는 백만볼트 쓰는 피카츄임. 이 경우 임의로 포켓몬 빵 하나를 뽑을 때 백만볼트 피카츄가 나올 확률은?
- p(백만볼트|피카츄) = (3/50)/(20/50) = 3/20 = 15%
- A와 B 독립 → P(A∩B) = P(A)*P(B)
- A와 B 배반 → P(A∩B) = 0
- 표본편의 Sampling Bias는 확률화 Randomization로 최소화 및 제거 가능
- 조건부 확률 : 사건 A가 일어났을 때 사건 B 일어남
- P(B|A) = P(A∩B)/P(A)
- 두 사건 A, B가 독립이라면, 사건 B의 확률은 A가 일어났다는 가정 하의 B의 조건부 확률과 동일 : P(B|A) = P(B)
- 연속형 확률밀도함수 : 확률변수 X가 구간 또는 구간들의 모임인 숫자값을 갖는 확률밀도함수
- 기댓값

- 균일분포의 기댓값 : (a+b) / 2
- 표본의 분산은 카이제곱분포를 따른다.
- 평균 추정의 조건 : 임의성, 일반성, 독립성 → 일반성에 따라 표본평균은 정규분포를 따라야 하나, 모평균은 알수 없음
- 99%의 신뢰구간 → 주어진 한 개의 신뢰구간에 모수가 있을 확률이 99%
- X~N(10,4)일 때, 6X+6?
- 평균 : 6*10 + 6 = 66
- 분산 : 6^2 * 4 = 36*4 = 144
- X~N(80,25)일 때, P(60<X<85)?
- 표준화 이후 정규분포표 활용해 계산

- 5지선다형 5문제를 다 짂을 때, 4문제 맞힐 확률?

- 교차분석 : 두 문항 모두 범주형일 때 가능